Chap2 控制系统的数学模型 ¶
数学模型
- 时域模型:微分方程
- 复域模型:传递函数
- 频域模型:频域特性

控制系统的时域数学模型 ¶
线性系统的基本特性 ¶
线性系统可以应用叠加原理,即系统具有可叠加性和均匀性 / 齐次性
非线性微分方程的线性化 ¶
非线性特性
| 饱和 | 间隙 | 死区 |
|---|---|---|
![]() |
![]() |
![]() |
线性化方法
- 忽略弱非线性因素
- 小偏差法(切线法,增量线性化法)
小偏差法
假设:控制系统调节过程中,各个元件输入量和输出量只是在平衡点附近作微小变化

在平衡点 \((x_0,y_0)\) 处连续可微,则可将函数在平衡点附近展开成泰勒级数
\[y=f(x)=y_0+\frac{\mathrm{d}y}{\mathrm{d}x}|_{x_0} (x-x_0)+\frac{1}{2!}\frac{\mathrm{d}^2 y}{\mathrm{d}x^2}|_{x_0} (x-x_0)^2+...\]
忽略二次以上项,上式可写为
\(\Delta y=k\Delta x\), \(\Delta y=y-y_0\)
\(\Delta x=x-x_0\), \(k=\frac{\mathrm{d}y}{\mathrm{d}x}|_{x_0}\)
略去增量符号,y=kx 即为非线性元件的线性化数学模型
控制系统的复数域数学模型 ¶
传递函数的定义和性质 ¶
传递函数定义
线性定常系统的传递函数,定义在零初始条件下,系统输出量的拉氏变换与输入量的拉氏变换之比
零初始条件:在零时刻,系统的输入、输出及其各阶导数均为零
设线性定常系统由下列 n 阶线性常微分方程描述
\[a_0\frac{d^n}{dt^n}c(t)+a_1\frac{d^{n-1}}{dt^{n-1}}c(t)+...+a_{n-1}\frac{d}{dt}c(t)+a_nc(t)=b_0\frac{d^n}{dt^n}r(t)+b_1\frac{d^{n-1}}{dt^{n-1}}r(t)+...+b_{n-1}\frac{d}{dt}r(t)+b_nr(t)\]
对上式分别求拉氏变换,令 \(C(s)=L[c(t)],R(s)=L[r(t)]\)
\[[a_0s^n+a_a s^{n-1}+...+a_{n-1}s+a_n]C(s)=[b_0s^m+b_1 s^{m-1}+...+b_{m-1}s+b_m]R(s)\]
系统传递函数为
\[\frac{C(s)}{R(s)}=\frac{b_0s^m+b_1s^{m-1}+...+b_m}{a_ss^n+a_1s^{n-1}+...+a_n}=\frac{M(s)}{N(s)}\]
传递函数性质
- 传递函数是复变量 s 的有理真分式函数
- 传递函数只取决于元件的结构和参数,而与输入量的形式无关,也不反映系统内部的任何信息
- 传递函数与微分方程具有相通性
- 传递函数 G(s) 的拉氏反变换是脉冲响应 \(g(t)\),脉冲响应 \(g(t)\) 是系统在单位脉冲 \(\delta(t)\) 输入时的输出响应
传递函数的零点和极点 ¶
首 1 标准型
传递函数可写为如下形式
\[G(s)=\frac{b_0(s-z_1)(s-z_2)...(s-z_m)}{a_0(s-p_1)(s-p_2)...(s-p_n)}=K^*\frac{\prod_{i=1}^m (s-z_i)}{\prod_{j=1}^n(s-p_j)}\]
- \(z_i(i=1,2,...m)\) 为分子多项式的零点,称为传递函数的零点
- \(p_j(j=1,2...n)\) 为分母多项式的零点,称为传递函数的极点
- \(K^*\) 称为传递系数或根轨迹增益
- 上式使用零点和极点表示传递函数,称为首 1 标准型,多用于根轨迹法
- 零极点分布图中用 \(\circ\) 表示零点,用 \(\times\) 表示极点
尾 1 标准型
\[G(s)=\frac{b_m (\tau_1s+1)(\tau_2^2 s^2+2\xi \tau_2 s+1)...(\tau_i s+1)}{a_n(T_1s+1)(T_2^2 s^2+2\xi T_2s+1)...(T_j s+1)}\]
- 一次因子对应实数零极点,二次因子对应共轭复数零极点
- \(\tau_i\) 和 \(T_j\) 称为时间常数
- \(k=b_m/a_n=K^*\prod_{i=1}^m(-z_i)/\prod_{j=1}^n (-p_j)\) 称为增益或传递系数 S
- 上式称为尾 1 标准型,多用于频率法
性质
- 传递函数与微分方程一一对应
- 传递函数表征系统本身的动态特性;传递函数只取决于系统本身的结构和参数,而与输入和初始条件等外部因素无关
- 实际系统 \(m\le n\),分子分母多项式系数均为实数
- 有确定的零、极点分布图与传递函数对应
传递函数的极点和零点对输出的影响 ¶
传递函数的极点时微分方程的特征根,决定所描述系统自由运动的模态
零点、极点与系统相应的关系
- 极点决定了系统自由运动的固有属性
- 极点位置决定了自由运动模态的收敛性,从而决定了模态的稳定性,并影响了系统响应的快速性
- 零点决定了运动模态的比例
控制系统的结构图与信号流图 ¶
系统结构图的组成和绘制 ¶
系统结构图
控制系统结构图包含四种基本单元:信号线、引出点 / 测量点、比较点 / 综合点、方框 / 环节

结构图的等效变换和简化 ¶
串联方框的简化

\[C(s)=G_1(s)G_2(s)R(s)=G(s)R(s)\]
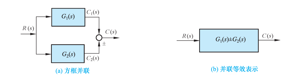
并联方框的简化

\[C(s)=[G_1(s)\pm G_2(s)]R(s)=G(s)R(s)\]
反馈连接方框的简化

\[C(s)=G(s)[R(s)\pm H(s)C(s)]=\frac{G(s)}{1+\mp G(s)H(s)}R(s)=\Phi(s)R(s)\]
信号流图的组成和性质 ¶
基本性质
- 节点标志系统的变量
- 支路相当于乘法器,信号流经支路时,被乘以支路增益而变换为另一信号
- 信号在支路上只能沿箭头单向传递
- 对于给定的系统,节点变量的设置是任意的,因此信号流图不唯一
术语
- 源节点(输入节点
) :只有信号的输出支路,代表系统的输入变量 - 阱节点(输出节点
) :只有输入支路,代表系统的输出变量 - 混合节点:既有输入支路又有输出支路
- 前向通路:信号从输入节点到输出节点传递时,每个节点只通过一次的通路
- 回路:起点和终点在同一节点,且信号通过每一节点不多于一次的闭合通路
- 不接触回路:回路之间没有公共节点
梅森增益函数 ¶
梅森增益公式
\[P=\frac{1}{\Delta}\sum_{k=1}^n p_k \Delta_k\]
闭环系统的传递函数 ¶
系统的开环传递函数,等效为主反馈断开时,从输入信号 R(s) 到反馈信号 B(s) 之间的传递函数

对于图示系统,称 G(s)H(s) 为开环传递函数,称 \(\frac{G(s)}{1+G(s)H(s)}\) 为闭环传递函数
评论区
如果有什么问题或想法,欢迎大家在下方留言~


