Chap4 气体和蒸汽的基本的热力过程 ¶
研究热力过程的目的及一般方法 ¶
基本热力过程 ¶
在 \(lnp-lnV\) 图中有 \(lnp=-nlnV+c\),即 \(pV^n=const.\)
n 称为多变指数
定压过程(isobaric process;constant pressure process
定温过程(isothermal process;constant temperature process
定熵过程(isemetric process;constant volume process
定容过程(isometric process;constant volume process
可逆多变过程(polytropic process
研究热力过程的方法 ¶
Note
- 求出过程方程及计算各过程初终态参数
- 根据热力学第一定律及理想气体性质计算过程中功和热
- 画出过程的 p-v 图和 T-s 图,直观分析过程中参数间关系及能量关系

理想气体的定压、定容和定温过程 ¶
过程方程 ¶
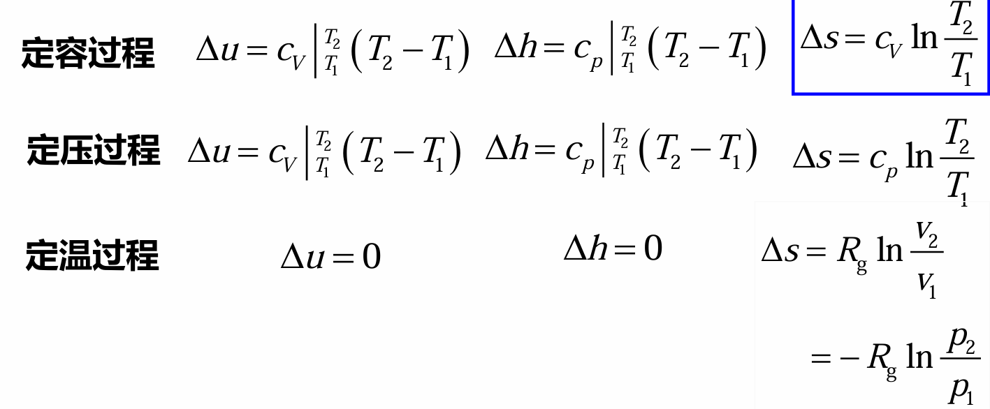
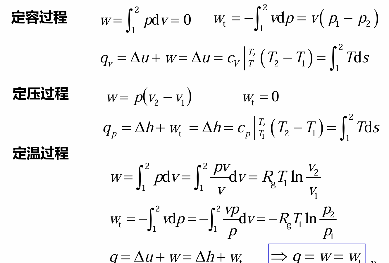
定容过程
\[\frac{p_1}{T_1}=\frac{p_2}{T_2}\]
定压过程
\[\frac{v_1}{T_1}=\frac{v_2}{T_2}\]
定温过程
\[p_1v_1=p_2v_2\]
过程的 p-v 图和 T-s 图 ¶
斜率推导
\[pv^n=const. => (\frac{\partial p}{\partial v})_n=-n\frac{p}{v}\]
\[Tds=\delta q =c_n dT=>(\frac{\partial T}{\partial s})_n = \frac{T}{c_n}\]

比热容 ¶
| 定容过程 | 定压过程 | 定温过程 |
|---|---|---|
| \(c_V=\frac{R_g}{\gamma-1}\) | \(c_p=\frac{\gamma}{\gamma-1}R_g\) | \(c_T->\infty\) |
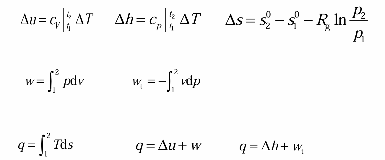
\(\Delta u\)、\(\Delta h\) 和 \(\Delta s\) ¶

w、\(w_t\) 和 q ¶

理想气体等比熵(可逆绝热过程)¶
理想气体多变过程 ¶
水蒸气的基本过程 ¶
本章中英名词对照 ¶
评论区
如果有什么问题或想法,欢迎大家在下方留言~